Universell einsetzbar
Das Summarit-S 1:2.5/35 ASPH. (CS) (28 mm äquiv. KB) bewährt sich bei Landschafts- und Architekturaufnahmen ebenso wie im Studio. Die konsequente Auslegung auf maximale Kontrastleistung bereits bei offener Blende und bis an die Naheinstellgrenze heran prädestiniert das ungewöhnlich lichtstarke Objektiv für universelle Einsatzmöglichkeiten.
Die aufwendige Konstruktion vermeidet störende Bildfehler wie Verzeichnung oder chromatische Aberrationen beinahe vollständig. Das Summarit-S 1:2.5/35 ASPH. (CS) ist wahlweise auch mit integriertem Zentralverschluss erhältlich.

Für die Studio- und Architekturfotografie
- Innovativer Zentralverschluss für maximale Gestaltungsfreiheit beim Einsatz von zusätzlichem Licht
- Für Studio- und Architekturfotografie
- Exzellente Abbildungsleistungen über den gesamten Entfernungsbereich und in allen Blendenstufen
- Extrem lichtstark
- Kreativer Einsatz von Schärfe und Unschärfe für das plastische Herauslösen von Motivdetails
- Beste Bildqualität bis zum Rand durch asphärische Optik
- Abdichtung gegen Staub- und Spritzwasser

Technische Details
Um den Anteil der Farbfehler zu minimieren, bestehen fünf der elf Linsen aus Gläsern mit anomaler Teildispersion, von denen wiederum drei eine besonders geringe Dispersion aufweisen. Zwei aufwendig hergestellte asphärische Oberflächen halten unter anderem die Verzeichnung außergewöhnlich gering.
Die Hintergruppenfokussierung gewährleistet konstant hervorragende Abbildungseigenschaften bis in den Nahbereich.
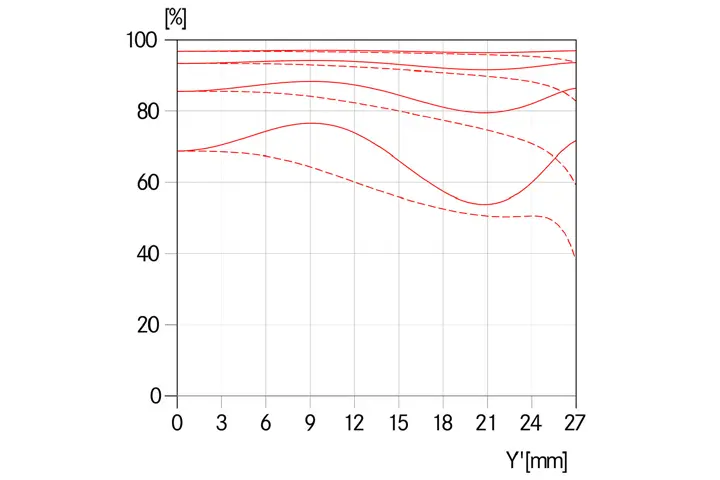
Modulationstransferfunktion
Die MTF ist jeweils für die volle Öffnung, sowie für 5,6 und 8 für große Aufnahmeentfernungen (unendlich) angegeben.
Aufgetragen ist der Kontrast in Prozent für 5, 10, 20, 40lp/mm über die Höhe des Formats für tangentiale (gestrichelte Linie) und sagittale Strukturen (durchgezogene Linie) bei weißem Licht. Die 5 und 10lp/mm geben einen Eindruck über das Kontrastverhalten für gröbere Objektstrukturen, die 20 und 40lp/mm dokumentieren das Auflösungsvermögen feiner und feinster Objektstrukturen.
Verzeichnung & Vignettierung
Die Verzeichnung beschreibt die Abweichung der tatsächlichen von der idealen Bildhöhe, wobei sich die ideale Bildhöhe aus der Objekthöhe und dem Abbildungsmaßstab ergibt. Die relative Verzeichnung gibt die prozentuale Abweichung der tatsächlichen von der idealen Bildhöhe an. Die Bildhöhe 27,04 mm ist der radiale Abstand einer Ecke des Bildfeldes von der Bildmitte (Bildformat 30mm× 45mm).
Die grafische Darstellung der effektiven Verzeichnung verdeutlicht den tatsächlichen Verlauf bzw. die Krümmung horizontaler und vertikaler Linien in der Bildebene.
Die Vignettierung beschreibt die kontinuierliche Abnahme der Bildhelligkeit (Bestrahlungsstärke) in Richtung des Bildrandes (Randabschattung, Abdunklung der Bildecken). In der Grafik ist die prozentuale Helligkeitsverminderung über der Bildhöhe aufgetragen. Bei 100% tritt keine Vignettierung auf.
Technische Datendateien
Technische daten
Bestellnummer | 11064 | CS: 11050 |
Bildwinkel (diagonal, horizontal, vertikal) | ca. 74° / 64° / 45°, entspricht ca. 28 mm bei Kleinbild |
Optischer Aufbau | |
Zahl der Linsen / Gruppen | 11/9 |
Lage der Eintrittspupille | unendlich: 84,77mm (in Lichteinfallsrichtung vor Bajonett) |
nah: 84,85mm (in Lichteinfallsrichtung vor Bajonett) | |
Arbeitsbereich | 0,55m bis ∞ |
Entfernungseinstellung | |
Skala | Kombinierte Meter/feet-Einteilung |
Kleinstes Objektfeld | 334mm× 502mm |
Größter Maßstab | 1: 11.1 |
Blende | |
Einstellung / Funktionsweise | Elektronisch gesteuerte Blende, Einstellung über Dreh-/Drückrad der Kamera, auch halbe Werte einstellbar |
Kleinster Wert | 22 |
Bajonett | Leica S-Bajonett |
Filterfassung /Gegenlichtblende | Außenbajonett für Gegenlichtblende (im Lieferumfang), Innengewinde für E82-Filter, Filterfassung rotiert nicht |
Abmessungen und Gewicht | |
Länge bis Bajonettauflage | ca. 122 / 156mm (ohne / mit Gegenlichtblende) |
Größter Durchmesser | ca. 88 / 132mm (ohne / mit Gegenlichtblende) |
Gewicht | ca. 930 / 1080g (ohne / mit Zentralverschluss) |

Summarit-S 35 f/2.5 ASPH.
Die Erfüllung fotografischer Träume ist oft nur einen Klick entfernt: Entscheiden Sie sich jetzt und bringen Sie Ihre Kunst der Fotografie auf ein neues Niveau.