Raumgreifender fotografieren
Das Elmarit-S 1:2.8/30 ASPH. (CS) (24 mm äquiv. KB) liegt an der Grenze zum Superweitwinkel. Dabei ist das Objektiv bereits bei offener Blende auf maximale Kontrastwiedergabe sowie höchste Auflösung optimiert und gewährleistet ein konstant hohes Qualitätsniveau von der Naheinstellgrenze bis unendlich.
Der außergewöhnlich hohe Korrektionsgrad dieses Designs spiegelt sich unter anderem in fast völliger Verzeichnungsfreiheit wider. Optional ist das Elmarit- S 1:2.8/30 ASPH. (CS) auch mit Zentralverschluss erhältlich.

Für kreative Bildkompositionen
- Innovativer Zentralverschluss für maximale Gestaltungsfreiheit beim Einsatz von zusätzlichem Licht
- Für kreative Bildkompositionen
- Exzellente Abbildungsleistungen über den gesamten Entfernungsbereich und in allen Blendenstufen
- Extrem lichtstark
- Kreativer Einsatz von Schärfe und Unschärfe für das plastische Herauslösen von Motivdetails
- Beste Bildqualität bis zum Rand durch asphärische Optik
- Abdichtung gegen Staub- und Spritzwasser

Technische Details
Von den 13 Linsen in neun Gruppen bestehen fünf aus Gläsern mit anomaler Teildispersion. Drei davon sind Fluoridlinsen mit besonders geringer Dispersion zur Korrektur der Farbfehler. Drei Linsen mit besonders hoher Brechkraft sowie zwei Asphären minimieren monochromatische Bildfehler.
Zur Fokussierung wird nur die hintere, aus sechs Linsen bestehende Baugruppe, verschoben, was bei diesem Design für die exzellente Abbildungsleistung bis in den Nahbereich sorgt.
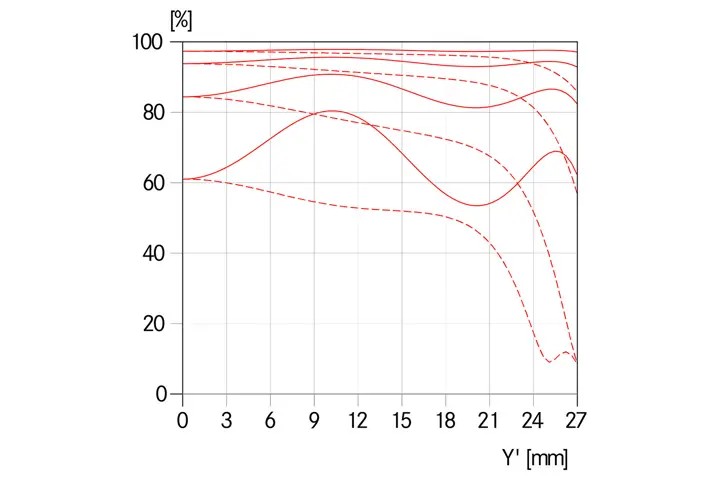
Modulationstransferfunktion
Die MTF ist jeweils für die volle Öffnung, sowie für 5,6 und 8 für große Aufnahmeentfernungen (unendlich) angegeben.
Aufgetragen ist der Kontrast in Prozent für 5, 10, 20, 40lp/mm über die Höhe des Formats für tangentiale (gestrichelte Linie) und sagittale Strukturen (durchgezogene Linie) bei weißem Licht. Die 5 und 10lp/mm geben einen Eindruck über das Kontrastverhalten für gröbere Objektstrukturen, die 20 und 40lp/mm dokumentieren das Auflösungsvermögen feiner und feinster Objektstrukturen.
Verzeichnung & Vignettierung
Die Verzeichnung beschreibt die Abweichung der tatsächlichen von der idealen Bildhöhe, wobei sich die ideale Bildhöhe aus der Objekthöhe und dem Abbildungsmaßstab ergibt. Die relative Verzeichnung gibt die prozentuale Abweichung der tatsächlichen von der idealen Bildhöhe an. Die Bildhöhe 27,04 mm ist der radiale Abstand einer Ecke des Bildfeldes von der Bildmitte (Bildformat 30mm× 45mm).
Die grafische Darstellung der effektiven Verzeichnung verdeutlicht den tatsächlichen Verlauf bzw. die Krümmung horizontaler und vertikaler Linien in der Bildebene.
Die Vignettierung beschreibt die kontinuierliche Abnahme der Bildhelligkeit (Bestrahlungsstärke) in Richtung des Bildrandes (Randabschattung, Abdunklung der Bildecken). In der Grafik ist die prozentuale Helligkeitsverminderung über der Bildhöhe aufgetragen. Bei 100% tritt keine Vignettierung auf.
Technische daten
Bestellnummer | 11073 | CS: 11074 |
Bildwinkel (diagonal, horizontal, vertikal) | ca. 83° / 73° / 52°, entspricht ca. 24 mm bei Kleinbild |
Optischer Aufbau | |
Zahl der Linsen / Gruppen | 13 / 9 |
Lage der Eintrittspupille | unendlich: 92,19 mm (in Lichteinfallsrichtung vor Bajonett) |
nah: 92,19 mm (in Lichteinfallsrichtung vor Bajonett) | |
Arbeitsbereich | 0,5 m bis ∞ |
Entfernungseinstellung | |
Skala | Kombinierte Meter/feet-Einteilung |
Kleinstes Objektfeld | 338 mm × 508 mm |
Kleinstes Objektfeld | 0,000825231 |
Blende | |
Einstellung / Funktionsweise | Elektronisch gesteuerte Blende, Einstellung über Dreh-/Drückrad der Kamera, auch halbe Werte einstellbar |
Kleinster Wert | 22 |
Bajonett | Leica S-Bajonett |
Filterfassung /Gegenlichtblende | Außenbajonett für Gegenlichtblende (im Lieferumfang), Innengewinde für E82-Filter, Filterfassung rotiert nicht |
Abmessungen und Gewicht | |
Länge bis Bajonettauflage | ca. 128 / 156 mm (ohne / mit Gegenlichtblende) |
Größter Durchmesser | ca. 88 / 132 mm (ohne / mit Gegenlichtblende) |
Gewicht | ca. 1060 / 1140 g (ohne / mit Zentralverschluss) |

Elmarit-S 30 f/2.8 ASPH.
Die Erfüllung fotografischer Träume ist oft nur einen Klick entfernt: Entscheiden Sie sich jetzt und bringen Sie Ihre Kunst der Fotografie auf ein neues Niveau.